Best Choice Power Of Attorney For Car Insurance Claims You Must Read

Awasome Power Of Attorney For Car Insurance Claims References. A power of attorney is not always a simple or straightforward document. A motor vehicle power of attorney form is a document used by a vehicle owner to permit another person or third party to handle particular responsibilities.

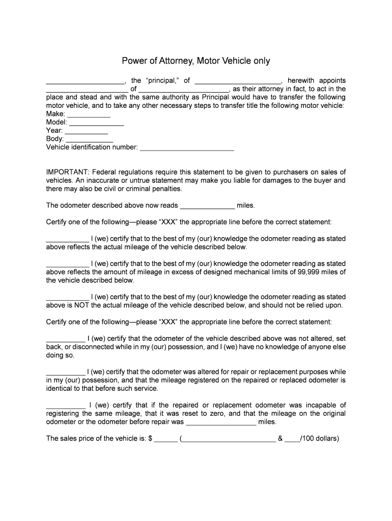
Poa Power Attorney Form Fill Online, Printable, Fillable, Blank
Poa Power Attorney Form Fill Online, Printable, Fillable, Blank from www.pdffiller.com

Report the claim to the insurance company as soon as possible. A vehicle power of attorney is a document used to legally authorize the agent to perform actions related to the vehicle, such as the registering, licensing, transfer of ownership, titling of the. If your life insurance claim is delayed or denied based upon power of attorney, call us for help.

All You Need To Have Power Of Attorney Auto Insurance Claim That Can Save Quite A Bit Of A 179 Year Old Teenager To Afford Auto.


Just as it can be complicated for a regular person reviewing and completing it, the life insurance claims. Report the claim to the insurance company as soon as possible. When fully executed and accompanied by the.

The Agent Must Present A Signed Physical Copy Of The Vehicle Power Of Attorney Form At The Dmv.


You can protect your interests by issuing. Power of attorney is a legal document that states an individual or entity has the right to act on the behalf of another person in legal or financial matters. Sign online button or tick the preview image of the blank.

No Notarization Of The Owner's Signature Is Required.


Talk to an experienced insurance claims lawyer. If your life insurance claim is delayed or denied based upon power of attorney, call us for help. How to fill out the geico report claim form on the internet:

A Motor Vehicle Power Of Attorney Form Is A Document Used By A Vehicle Owner To Permit Another Person Or Third Party To Handle Particular Responsibilities.


We have seen claims denied due to improper beneficiary changes by the person with power of. It’s completely normal for a car insurance company to ask for power of attorney! To present and submit all documents in connection with bpi ms.

Many People Are Unfamiliar With What Is Involved With Filing Auto Insurance Claims And Seeking Compensation After A Crash.


To start the form, use the fill camp; These are some of the issues you should consider. A power of attorney is not always a simple or.

SeeCloseComment